Statistics
$20
$20
https://schema.org/InStock
usd
AAVSO CCD School
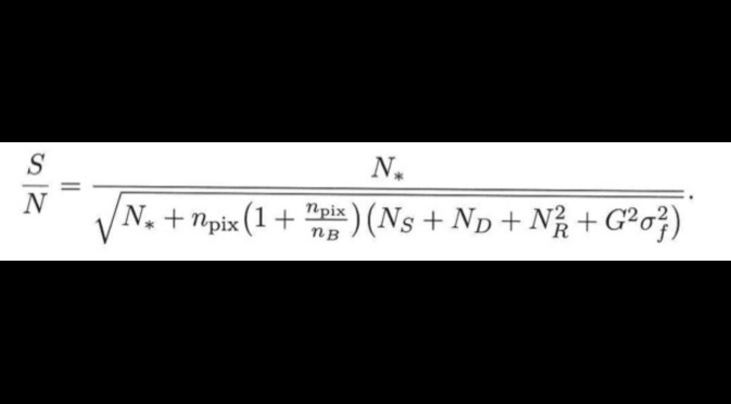
Statistics can be an entire course by itself, but a basic understanding of the difference between precision and accuracy, mean and median, and error propagation is highly important for ensuring that your observations are reported correctly and are scientifically useful. We discuss these and other topics during this lecture.
Watch link provided after purchase
Size
5 GB
Duration
80 minutes
Resolution
720p
Add to wishlist